Índice de análisis

Obras:

Título: Autor: Idioma: #Palabras total: #Palabras distintas: Type-Token ratio: Ley de Heaps Ley de Zipf
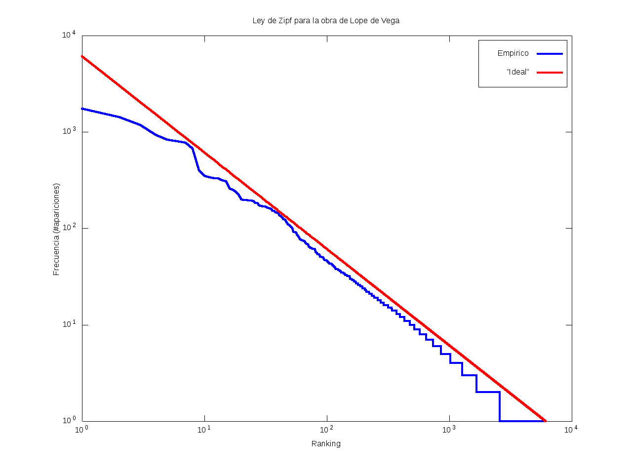
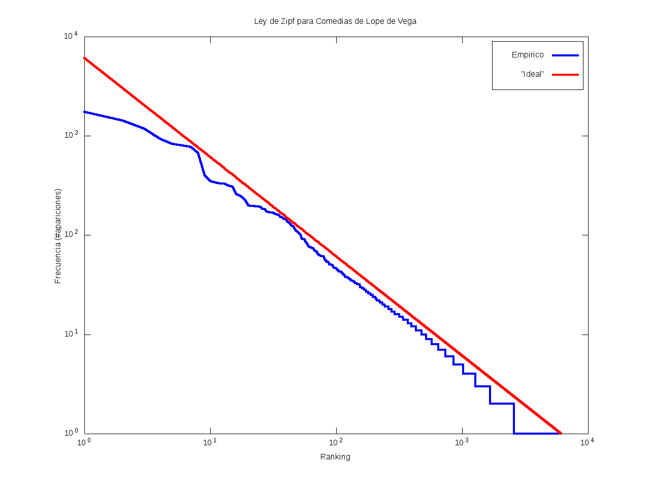
Comedias Lope de Vega Castellano 38483 6110 15.88% K=4.493 b=0.677
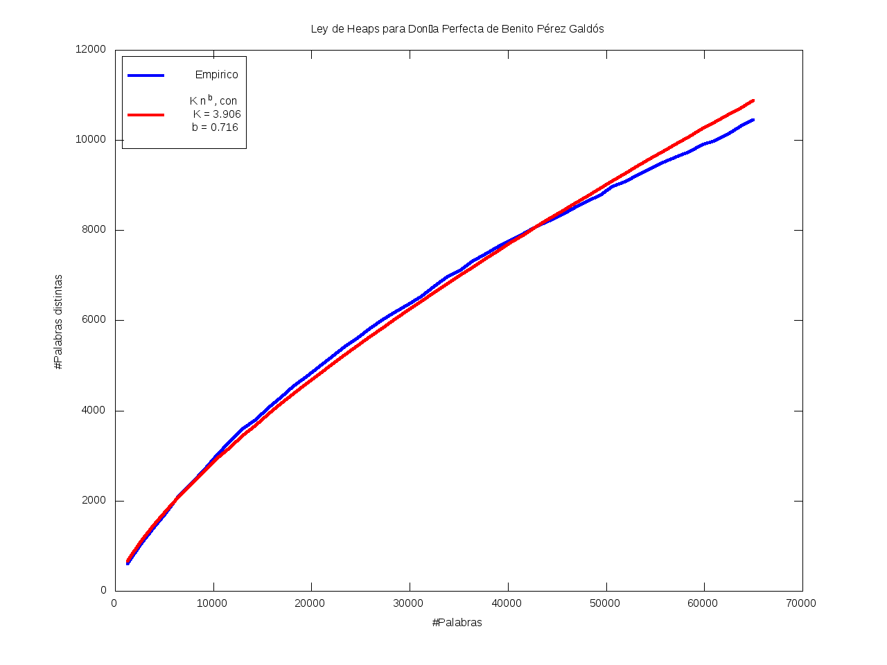
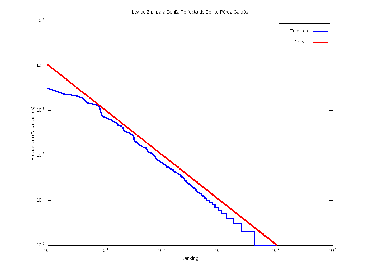
Doña Perfecta Benito Pérez Galdós Castellano 65009 10455 16.08% K=3.906 b=0.716
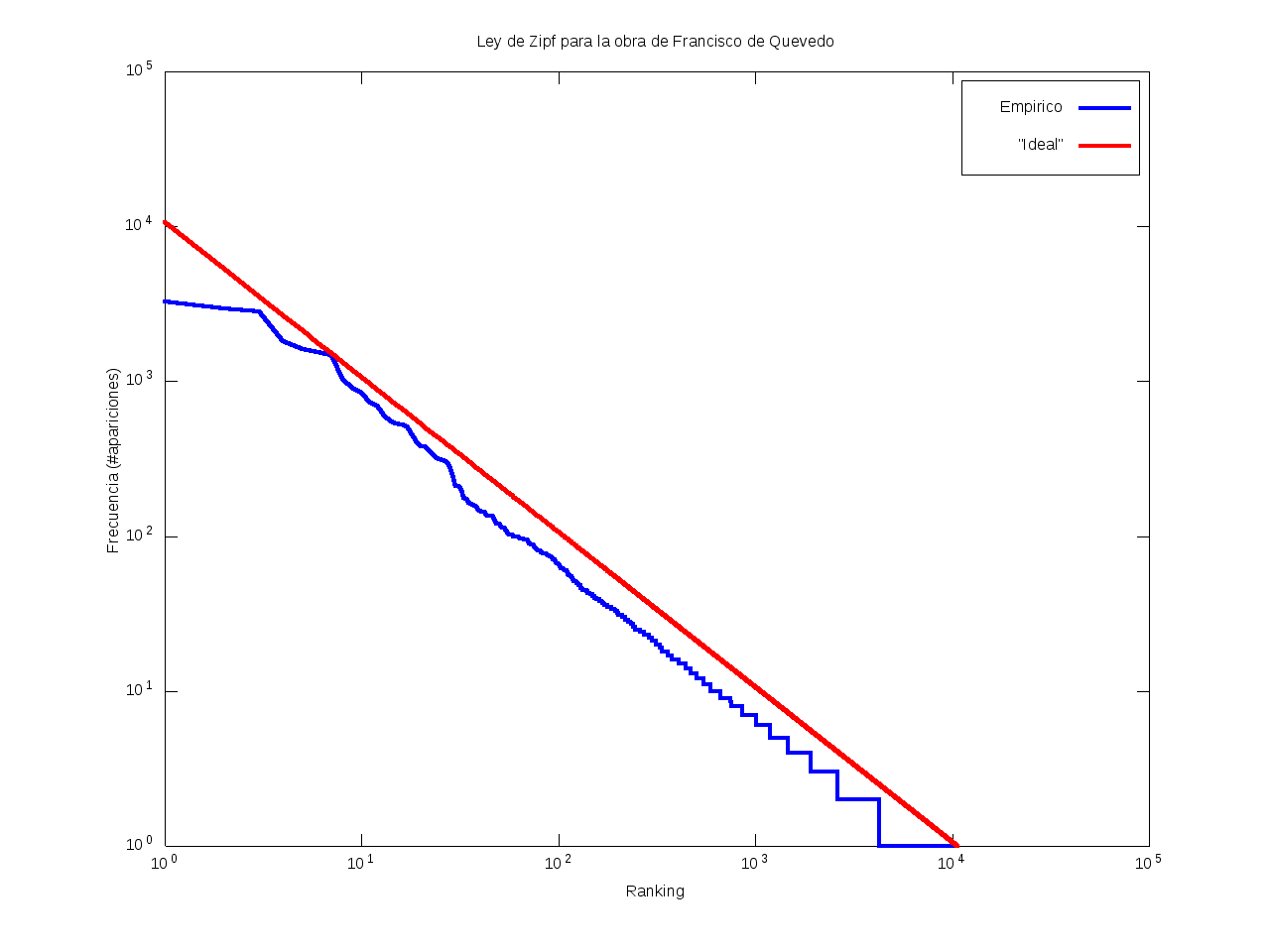
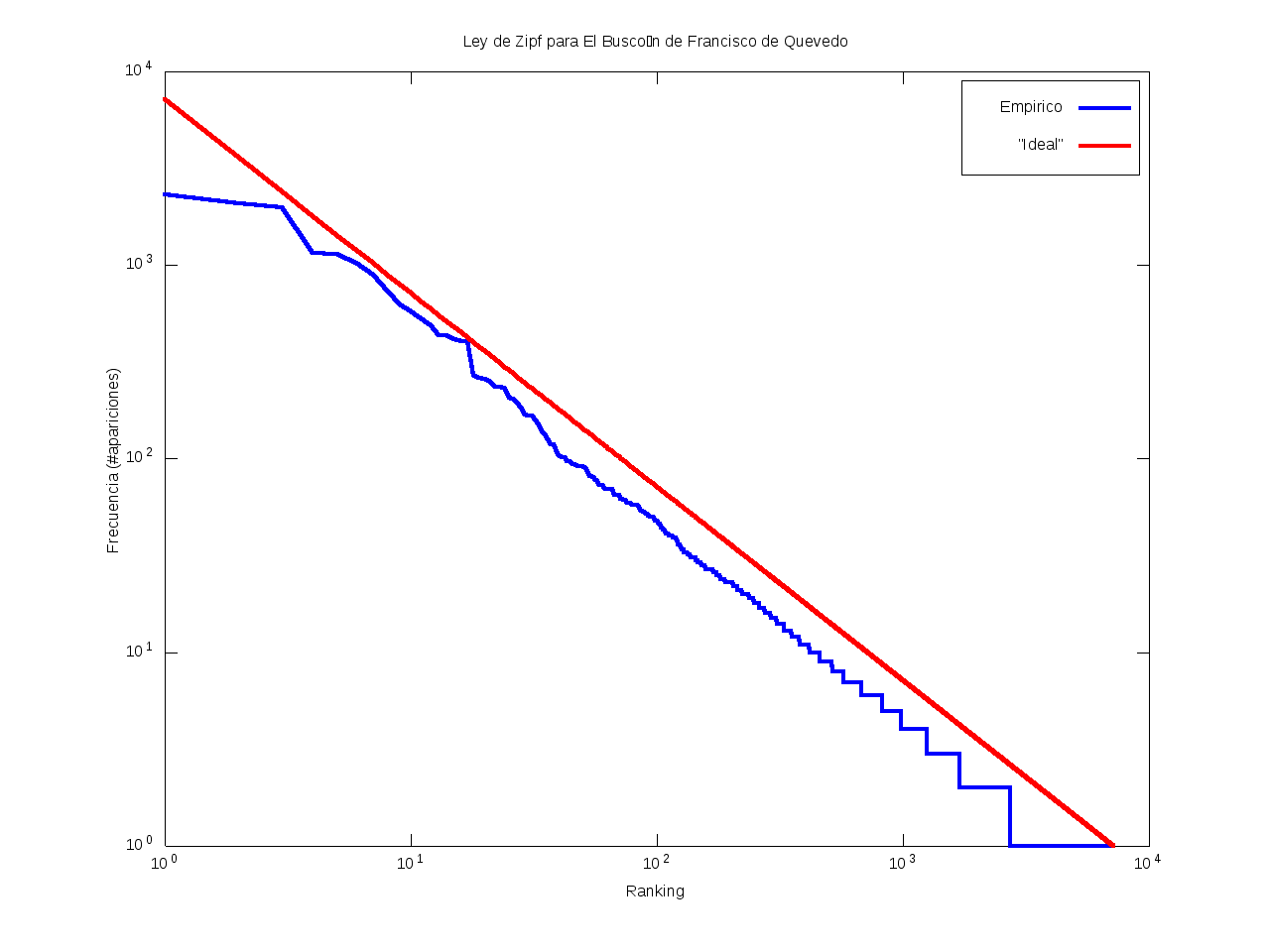
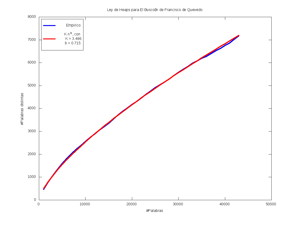
El Buscón Francisco de Quevedo Castellano 42981 7172 16.69% K=3.486 b=0.715
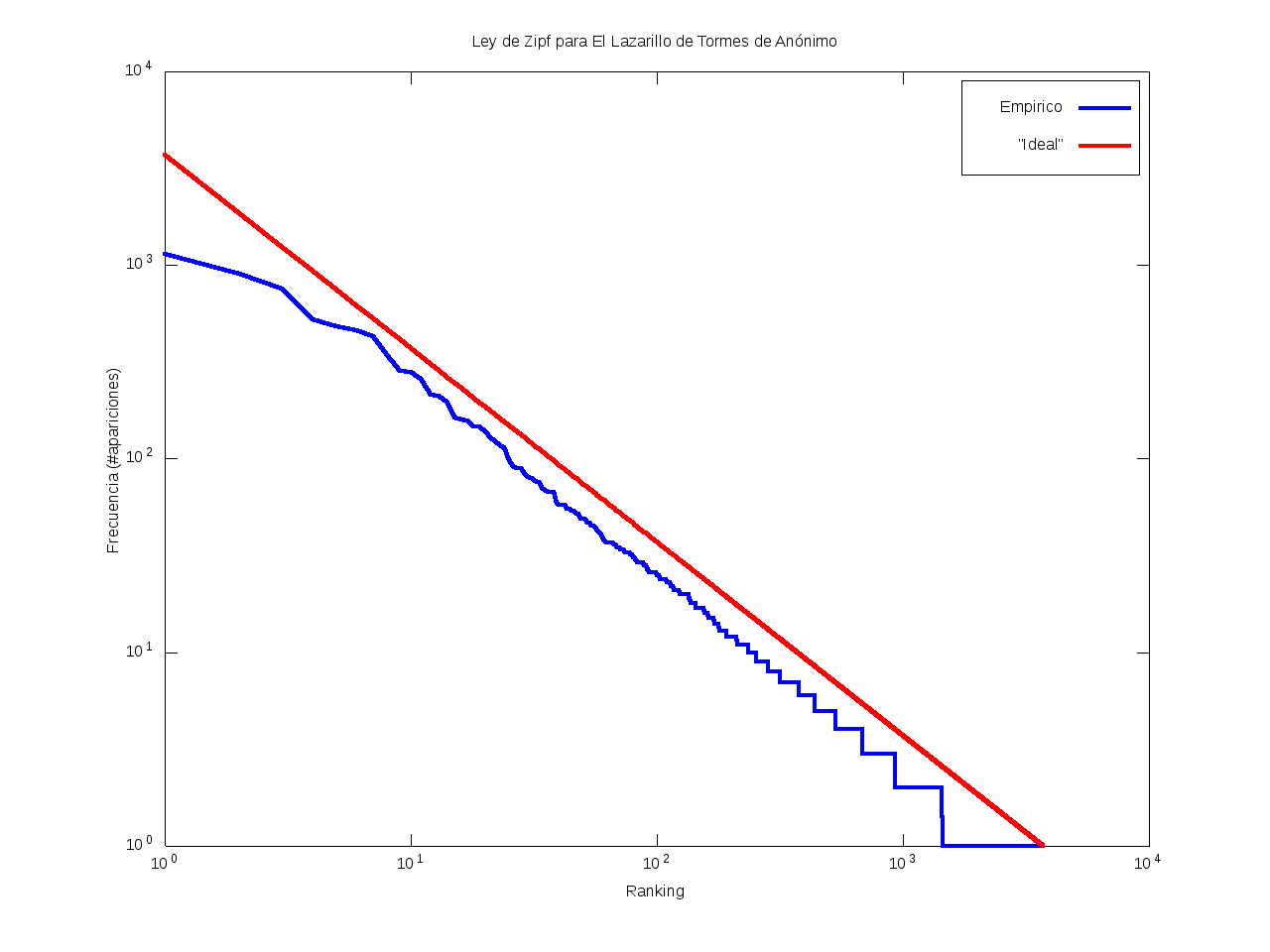
El Lazarillo de Tormes Anónimo Castellano 20073 3718 18.52% K=4.539 b=0.679
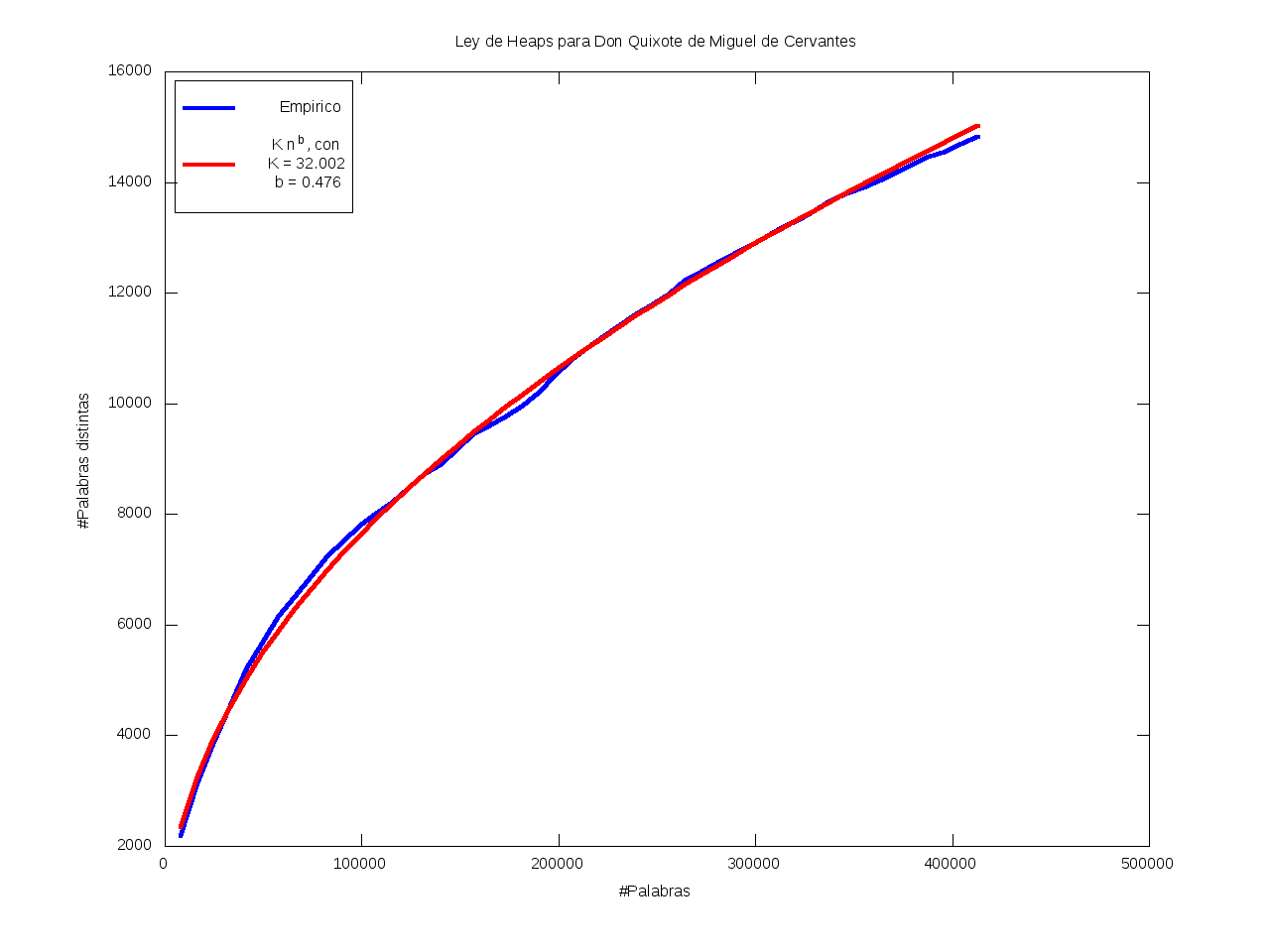
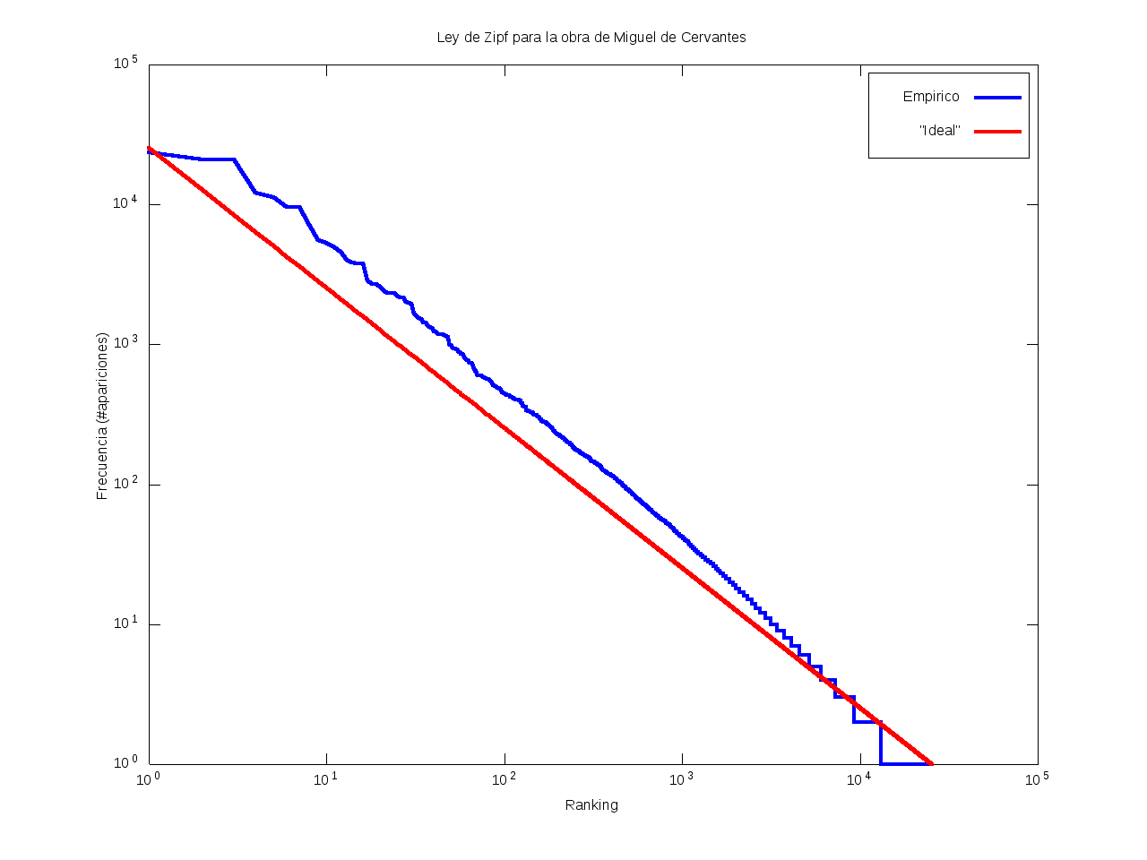
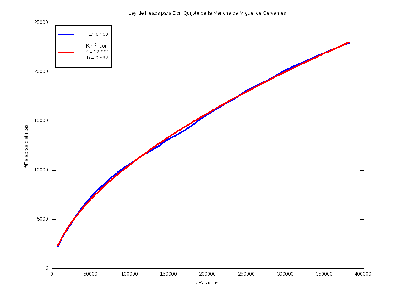
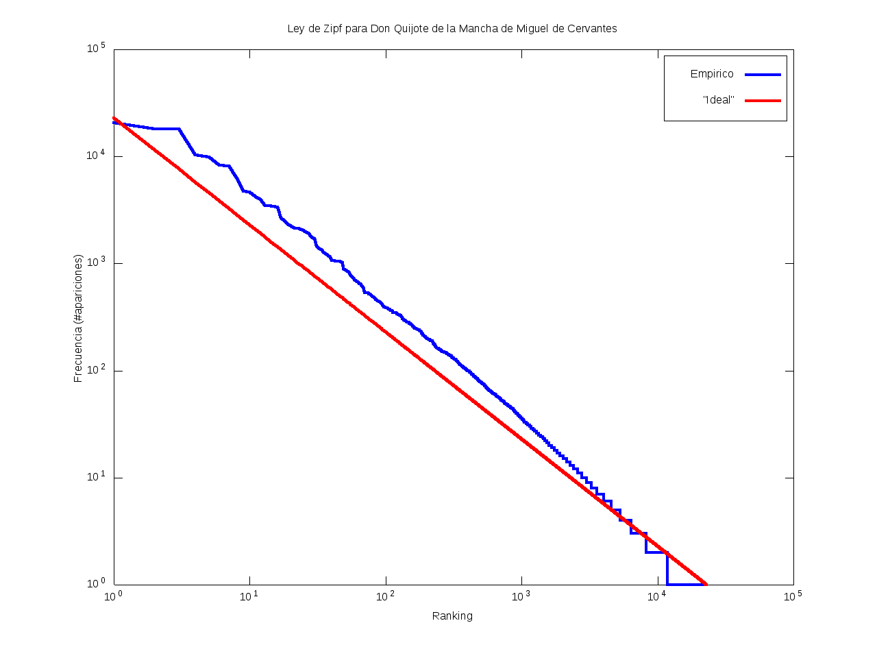
Don Quijote de la Mancha Miguel de Cervantes Castellano 381216 22935 6.02% K=12.991 b=0.582
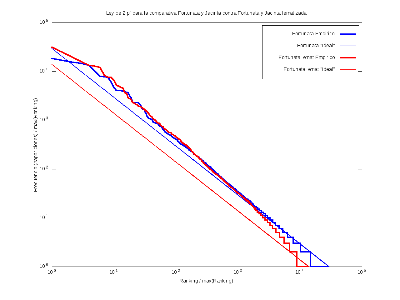
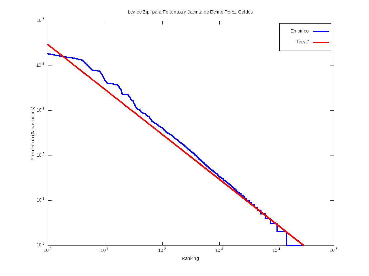
Fortunata y Jacinta Benito Pérez Galdós Castellano 394672 29367 7.44% K=14.613 b=0.595
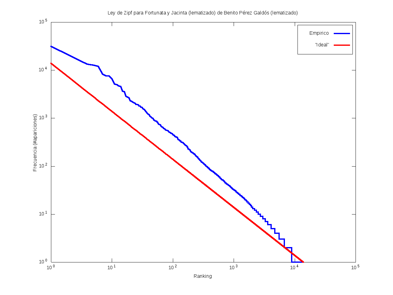
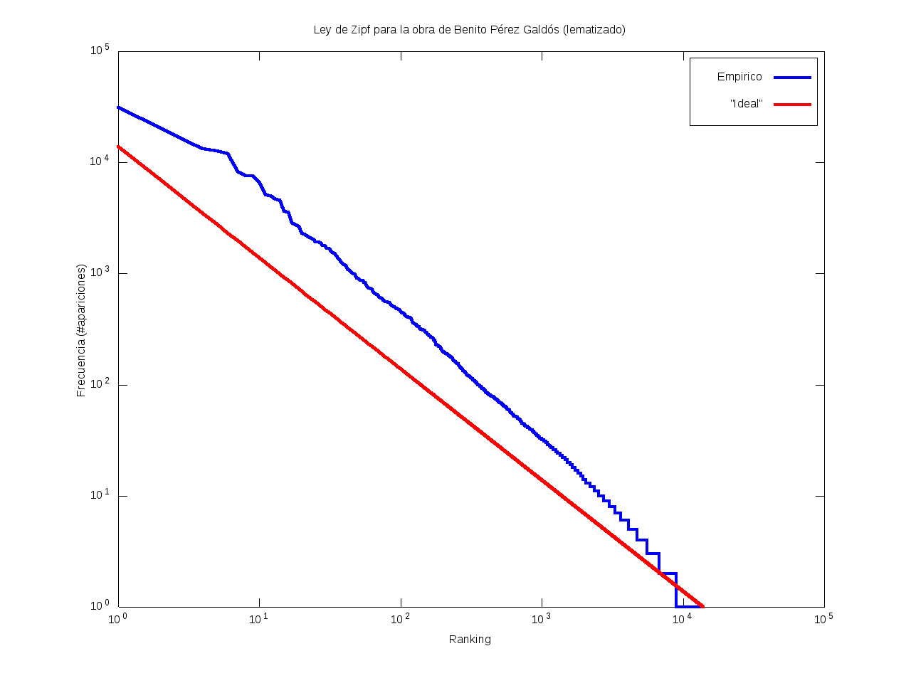
Fortunata y Jacinta (lematizado) Benito Pérez Galdós (lematizado) Castellano (lematizado) 393844 13855 3.52% K=34.438 b=0.471
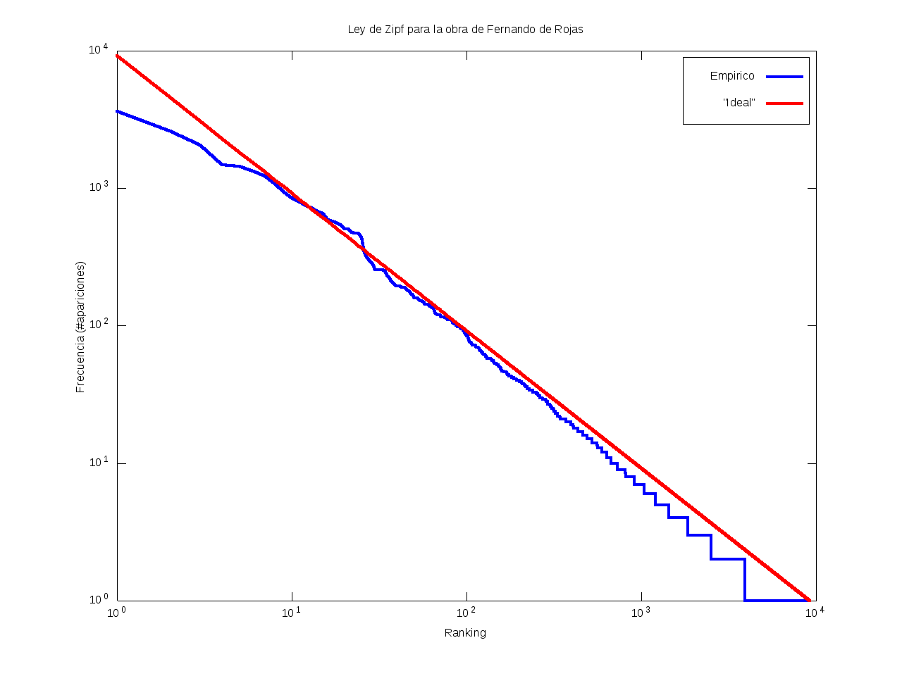
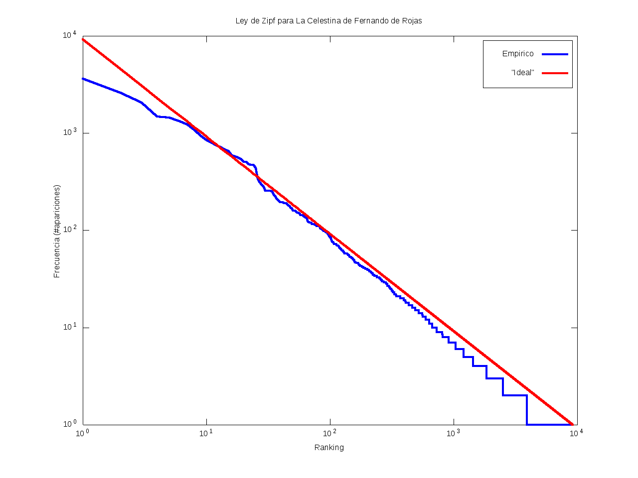
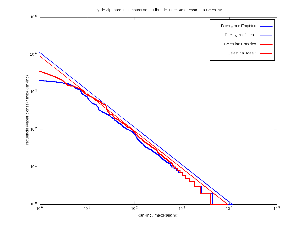
La Celestina Fernando de Rojas Castellano 68450 9189 13.42% K=7.093 b=0.647
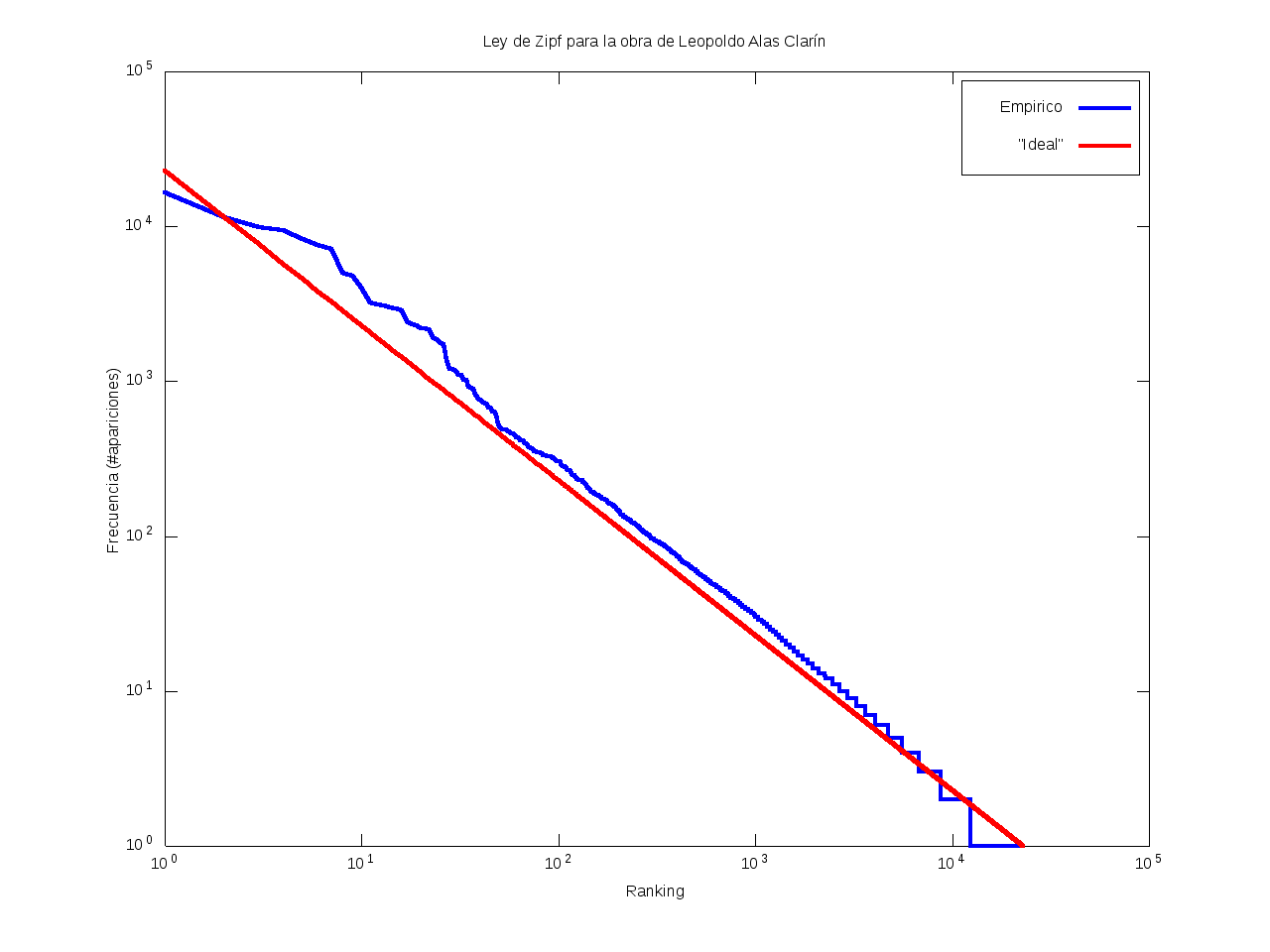
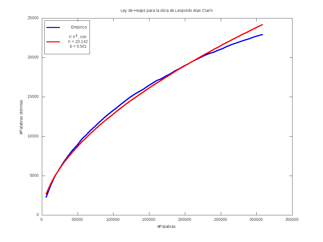
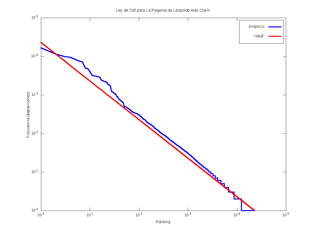
La Regenta Leopoldo Alas Clarín Castellano 308254 22907 7.43% K=20.142 b=0.561
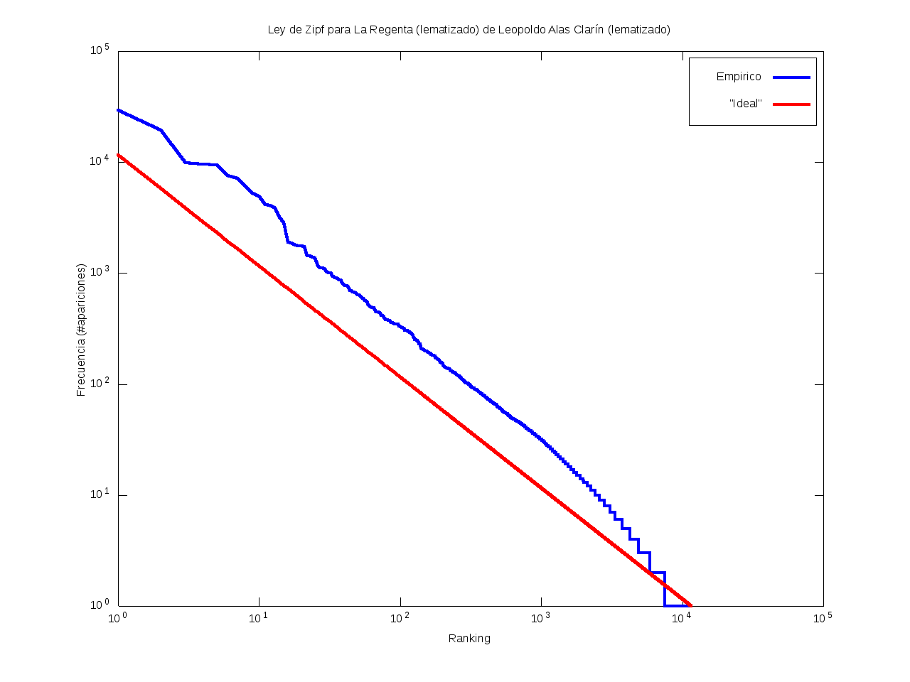
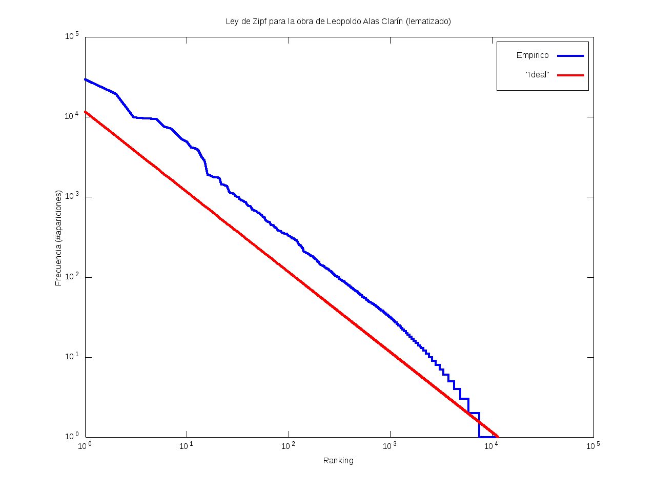
La Regenta (lematizado) Leopoldo Alas Clarín (lematizado) Castellano (lematizado) 308922 11595 3.75% K=43.718 b=0.446
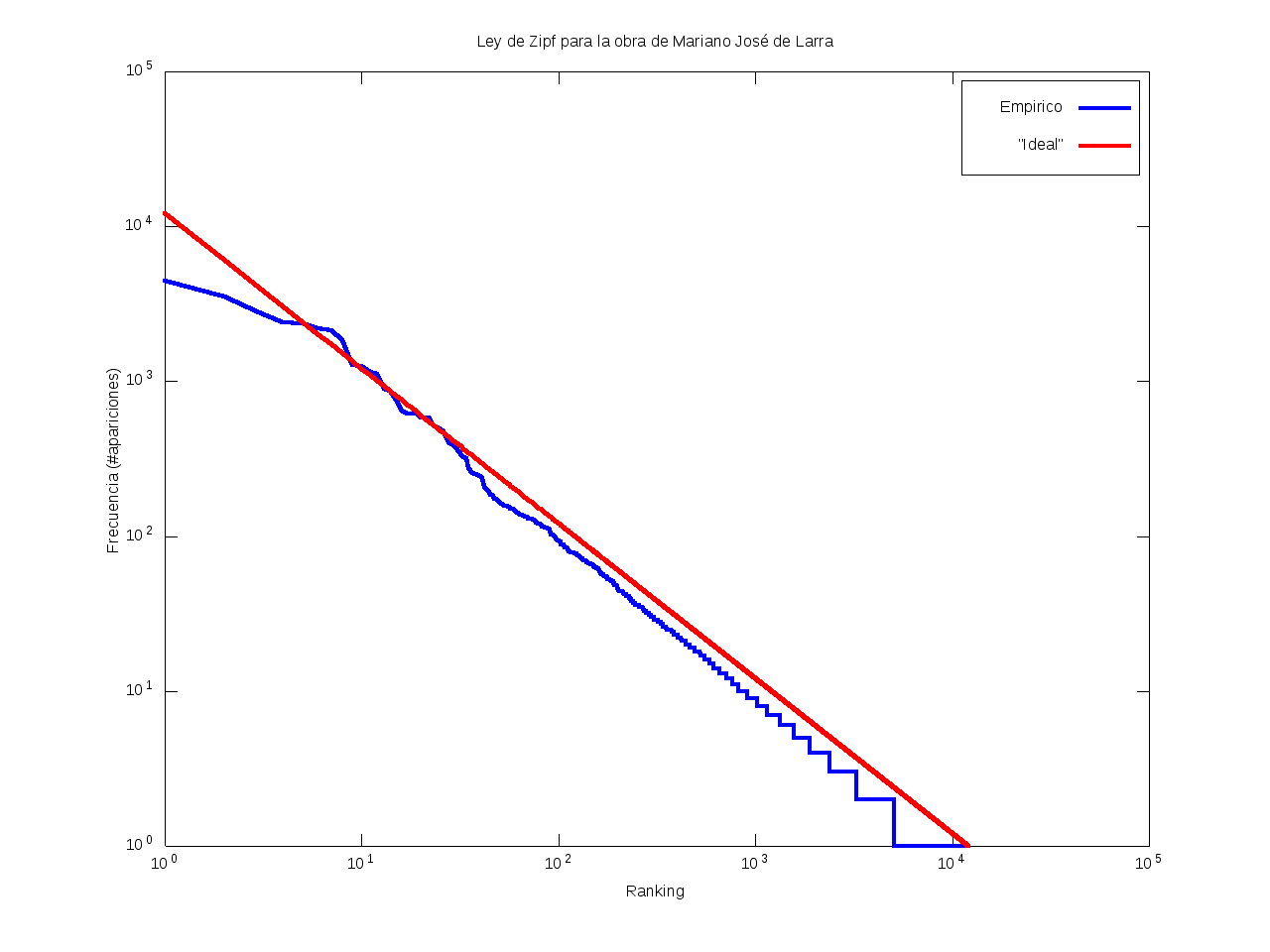
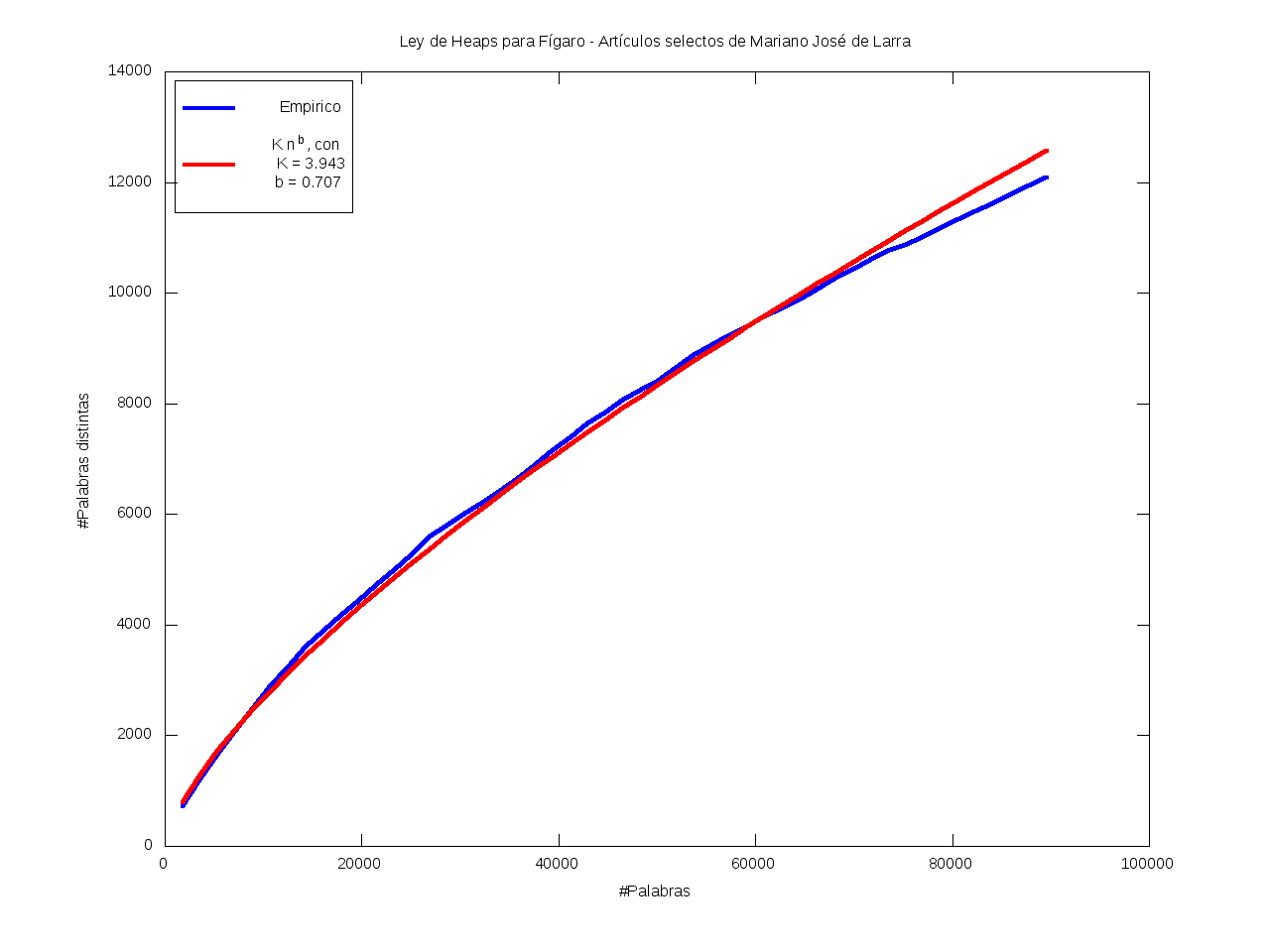
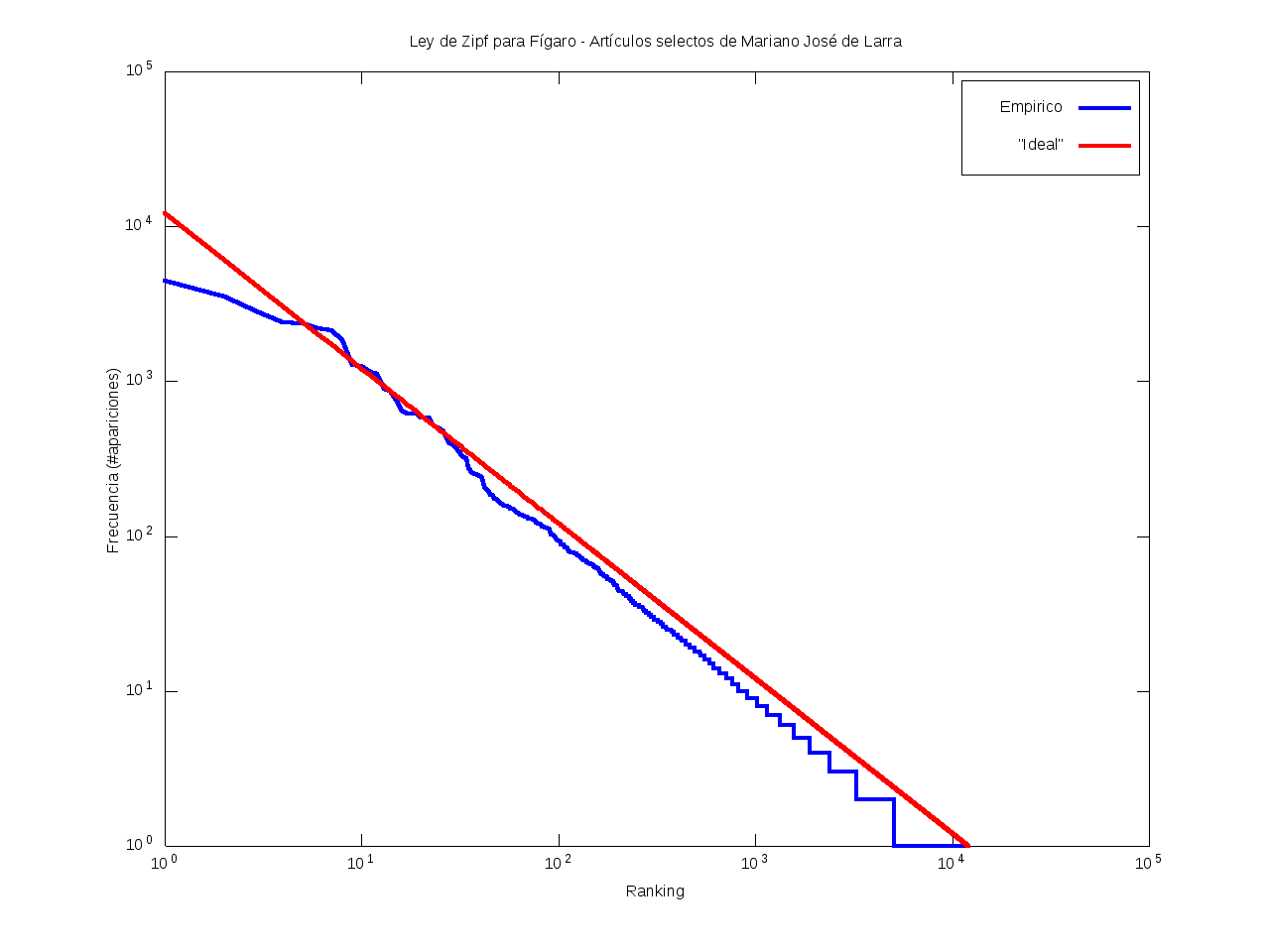
Fígaro - Artículos selectos Mariano José de Larra Castellano 89571 12085 13.49% K=3.943 b=0.707
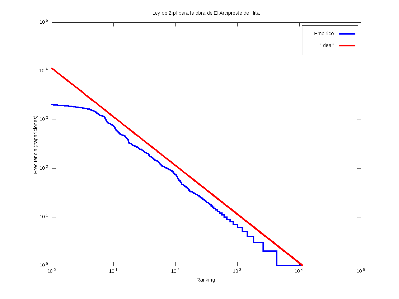
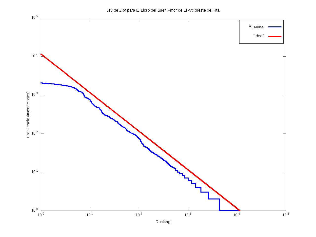
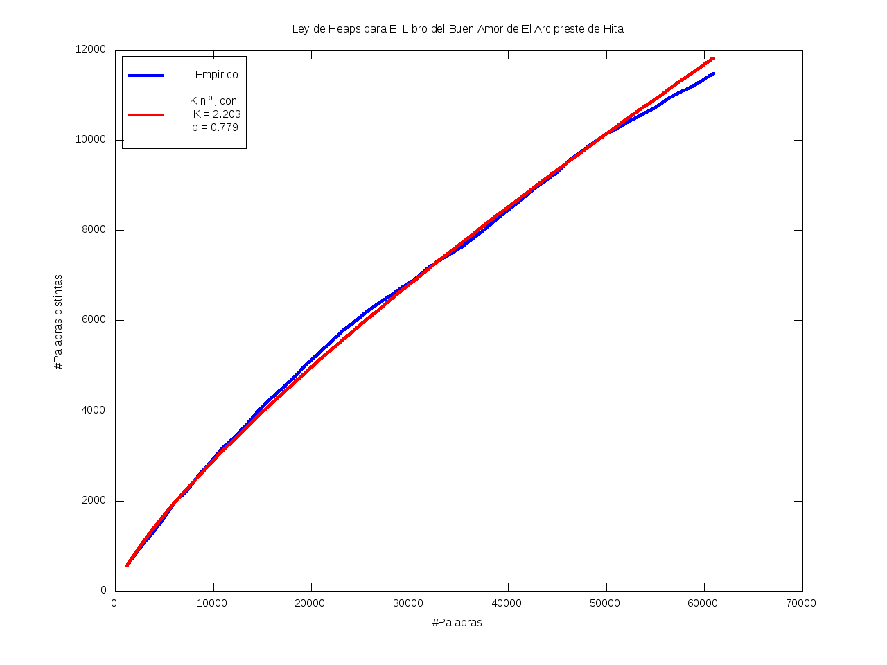
El Libro del Buen Amor El Arcipreste de Hita Castellano 60948 11479 18.83% K=2.203 b=0.779
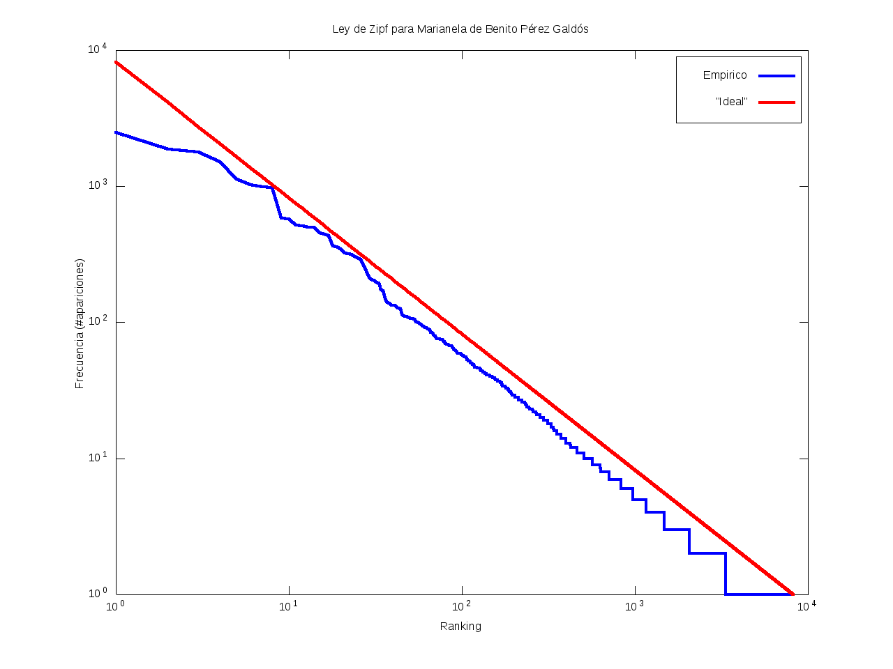
Marianela Benito Pérez Galdós Castellano 50983 8217 16.12% K=4.640 b=0.694
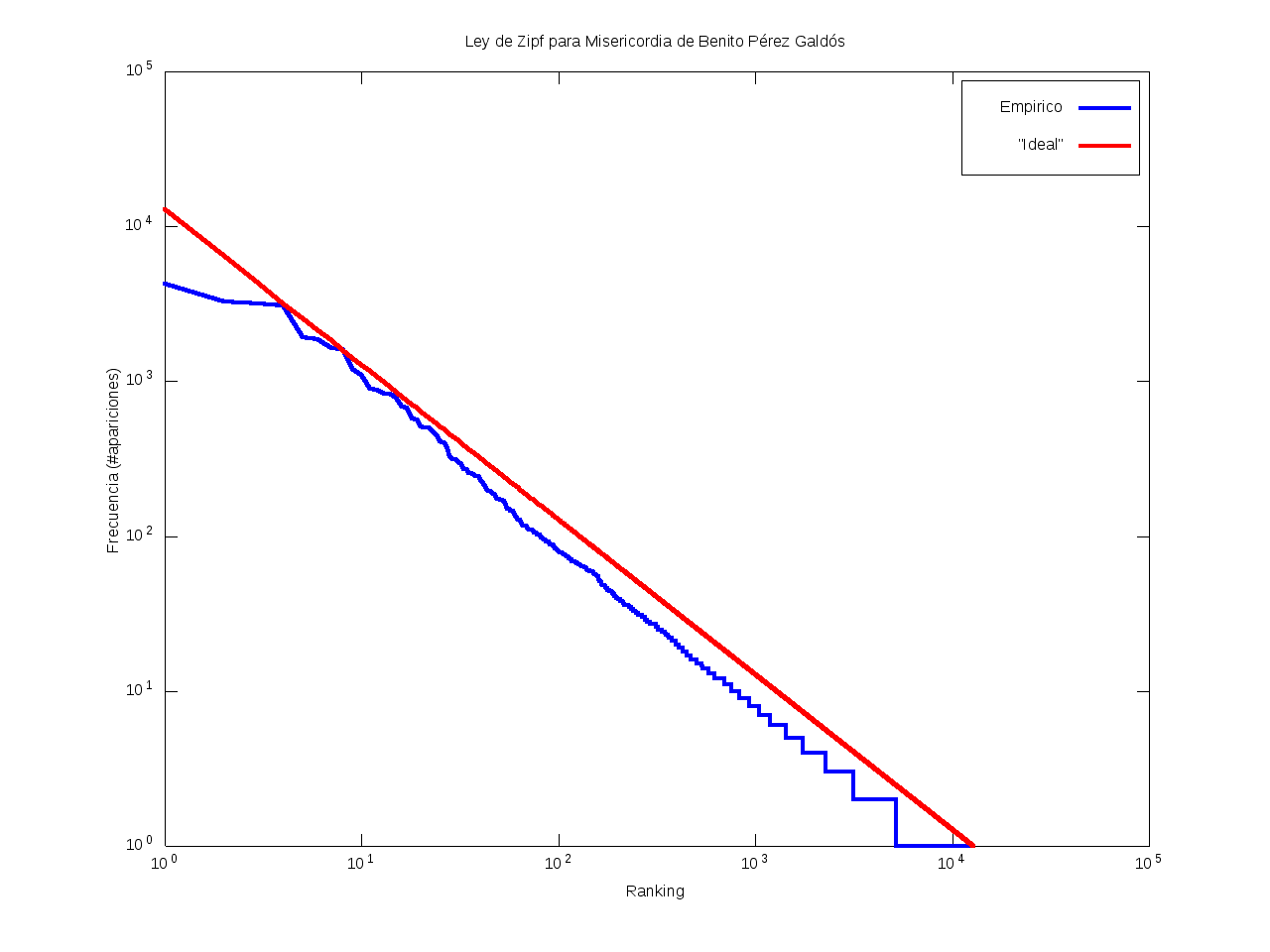
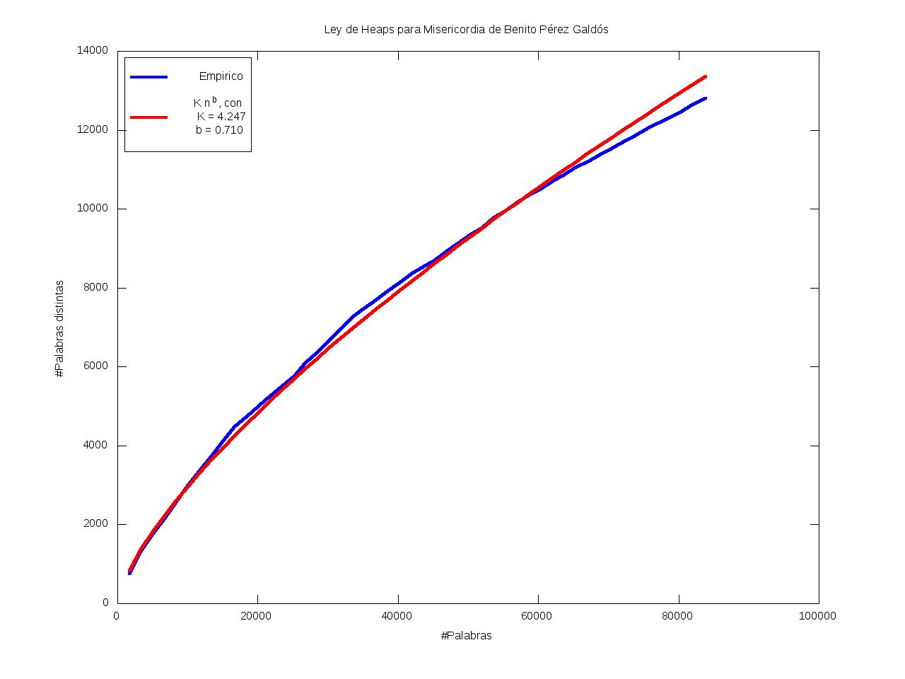
Misericordia Benito Pérez Galdós Castellano 83883 12799 15.26% K=4.247 b=0.710
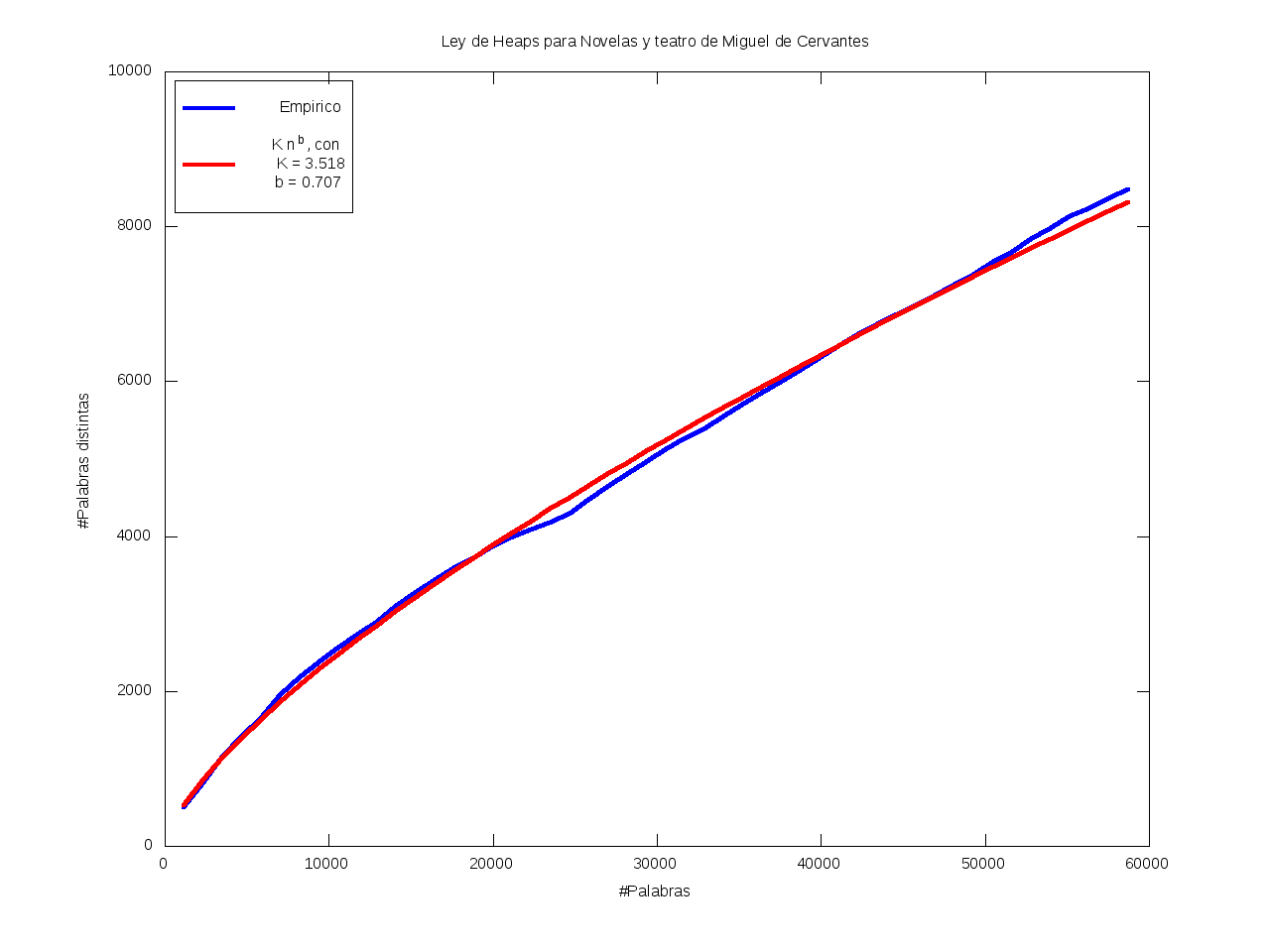
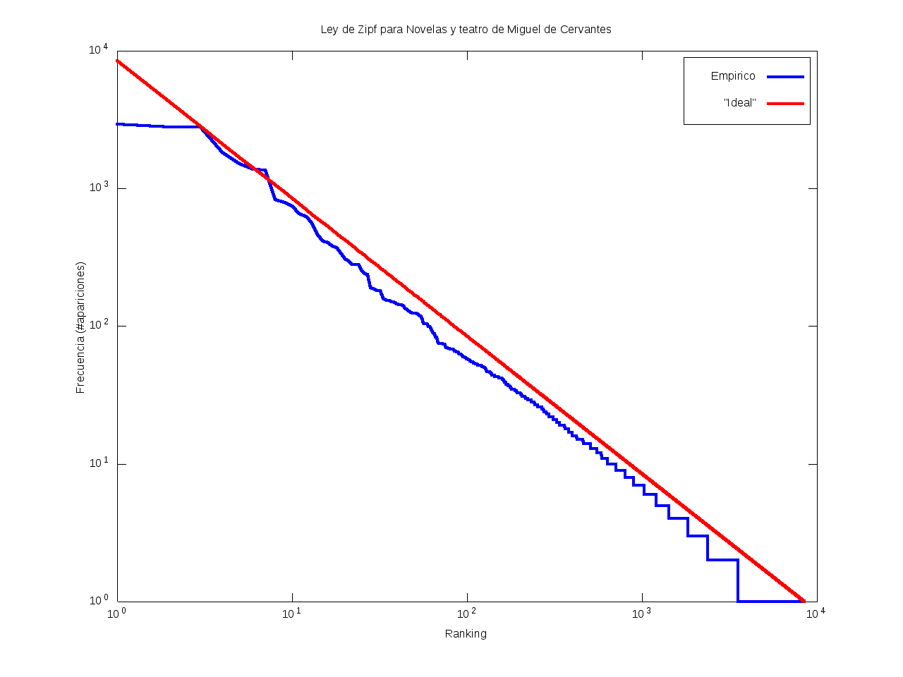
Novelas y teatro Miguel de Cervantes Castellano 58723 8472 14.43% K=3.518 b=0.707
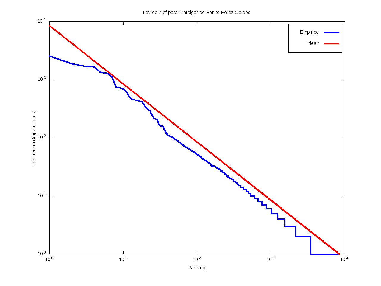
Trafalgar Benito Pérez Galdós Castellano 51168 8450 16.51% K=4.327 b=0.704
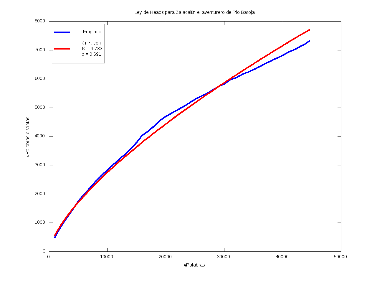
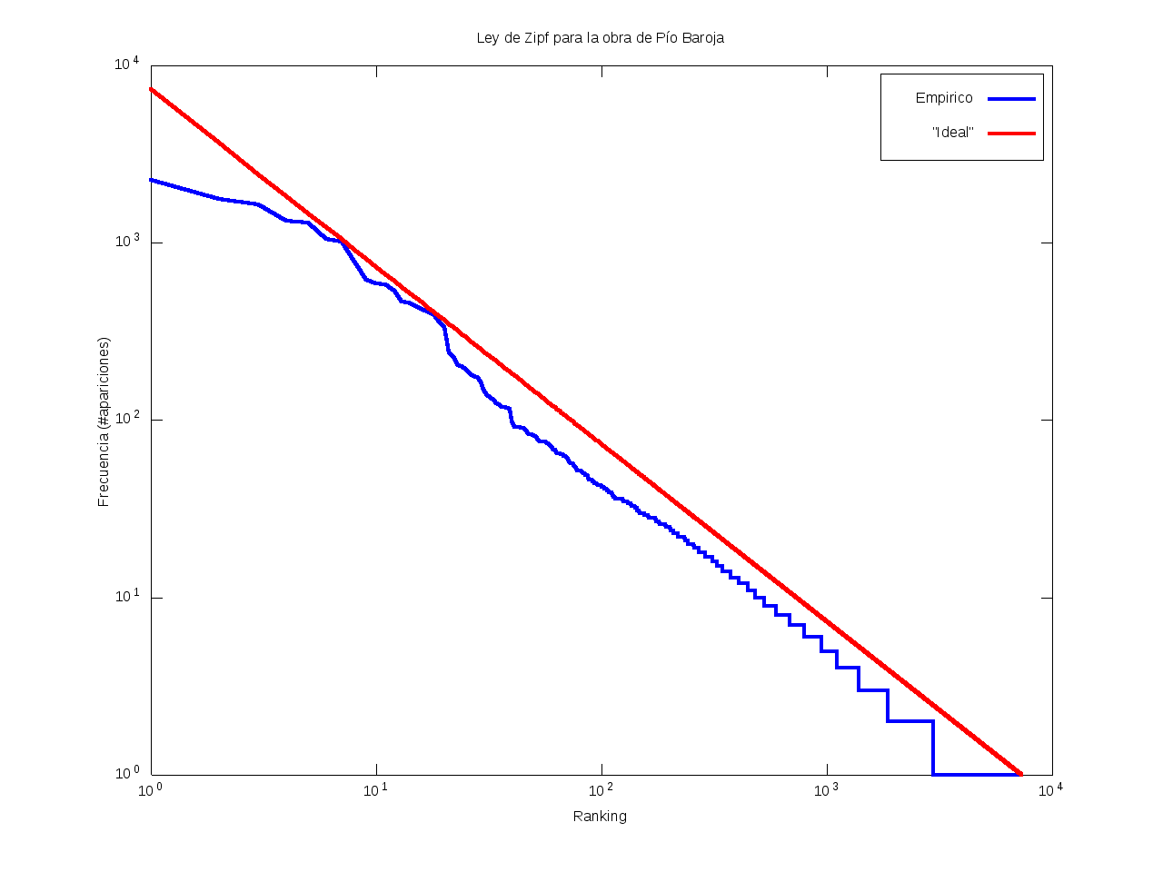
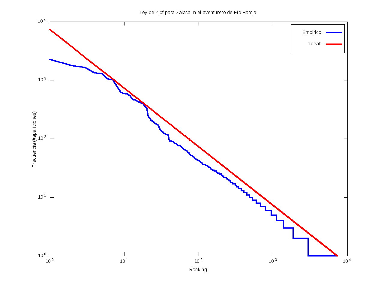
Zalacaín el aventurero Pío Baroja Castellano 44613 7326 16.42% K=4.733 b=0.691
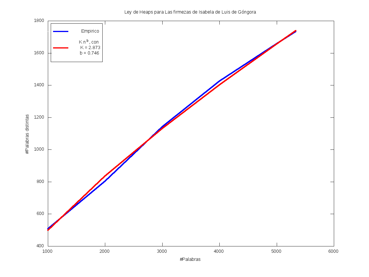
Las firmezas de Isabela Luis de Góngora Castellano 5334 1733 32.49% K=2.873 b=0.746
Polifemo y Galatea Luis de Góngora Castellano 3240 1330 41.05% K=2.608 b=0.771
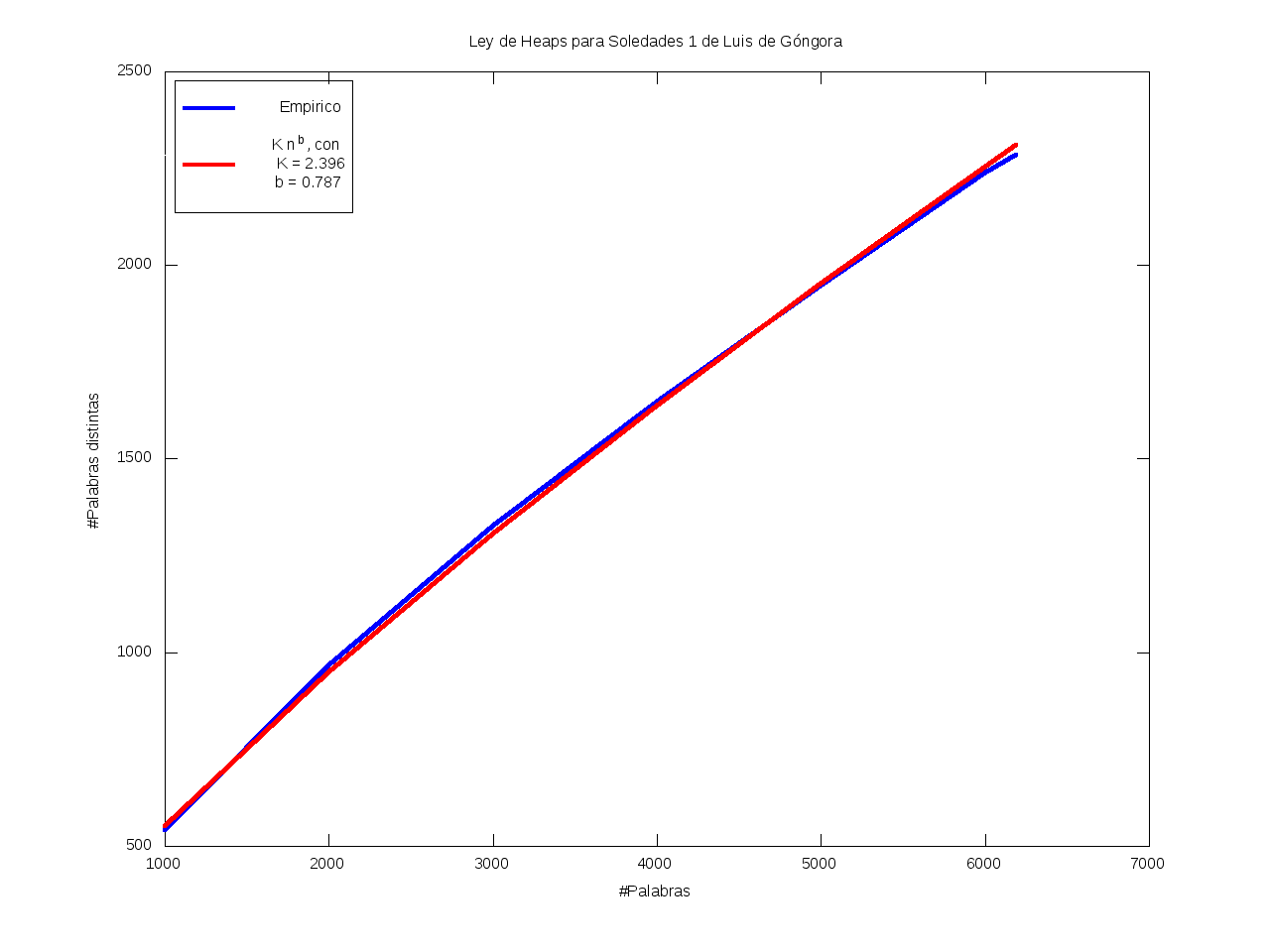
Soledades 1 Luis de Góngora Castellano 6189 2285 36.92% K=2.396 b=0.787
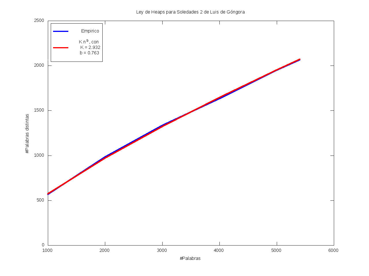
Soledades 2 Luis de Góngora Castellano 5405 2064 38.19% K=2.932 b=0.763
Don Quixote Miguel de Cervantes Inglés 413057 14810 3.59% K=32.002 b=0.476
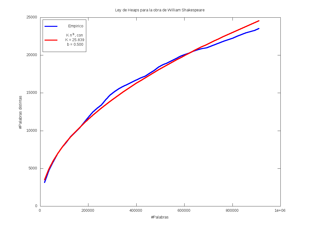
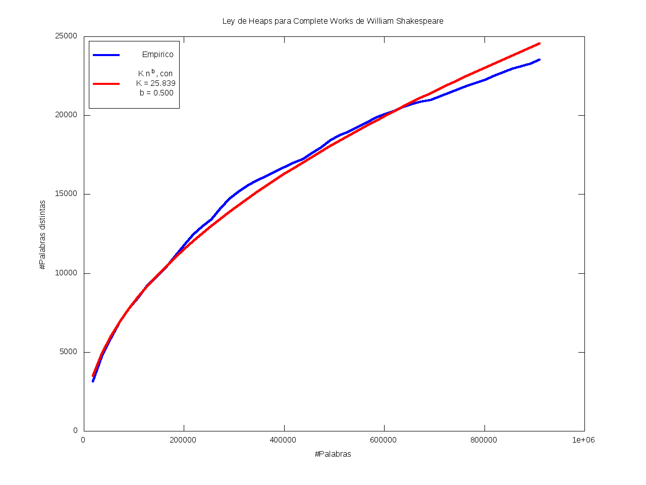
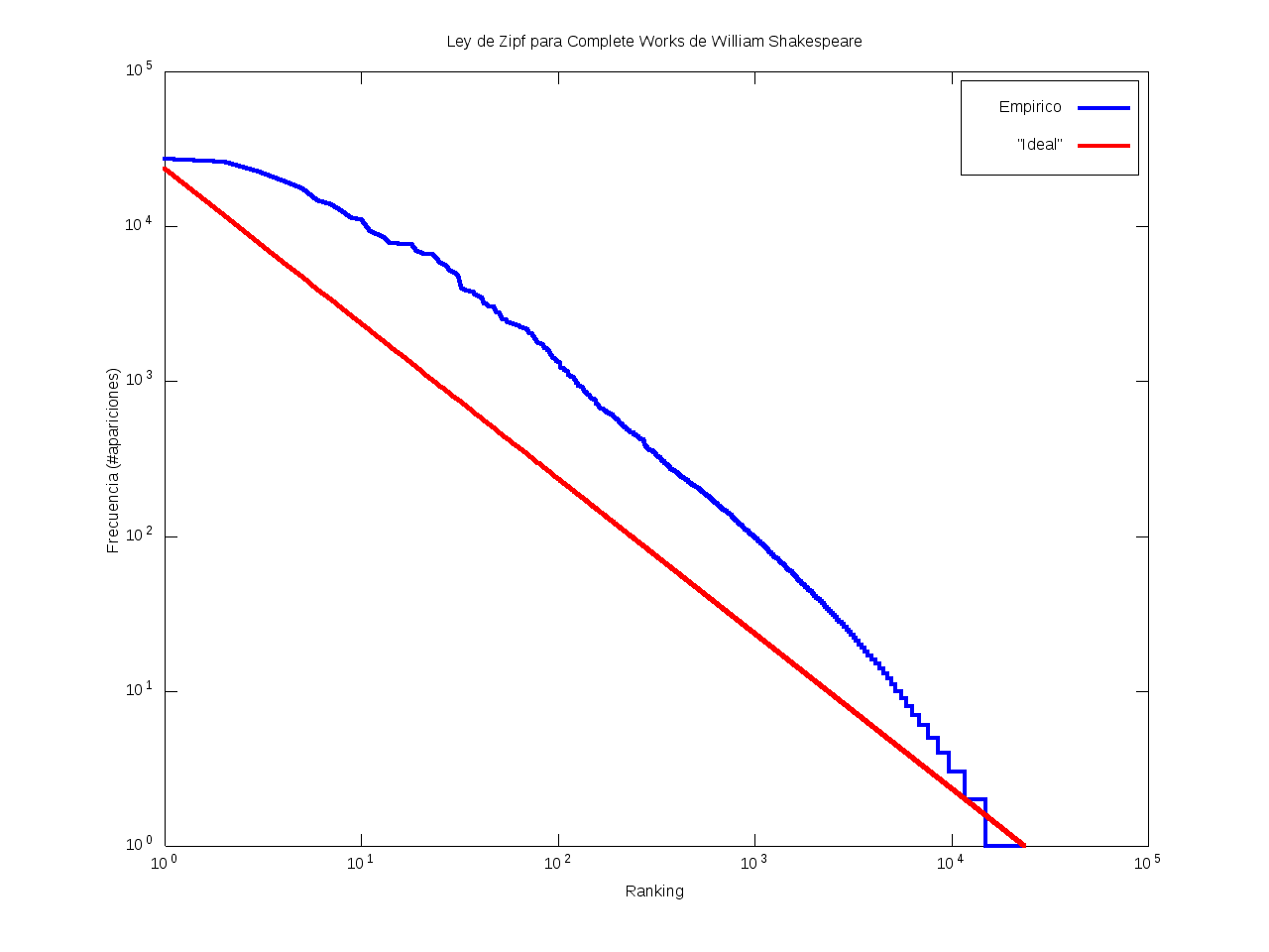
Complete Works William Shakespeare Inglés 910657 23514 2.58% K=25.839 b=0.500
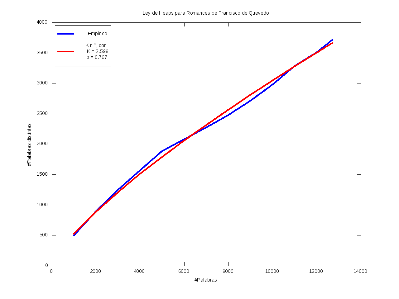
Romances Francisco de Quevedo Castellano 12700 3713 29.24% K=2.598 b=0.767
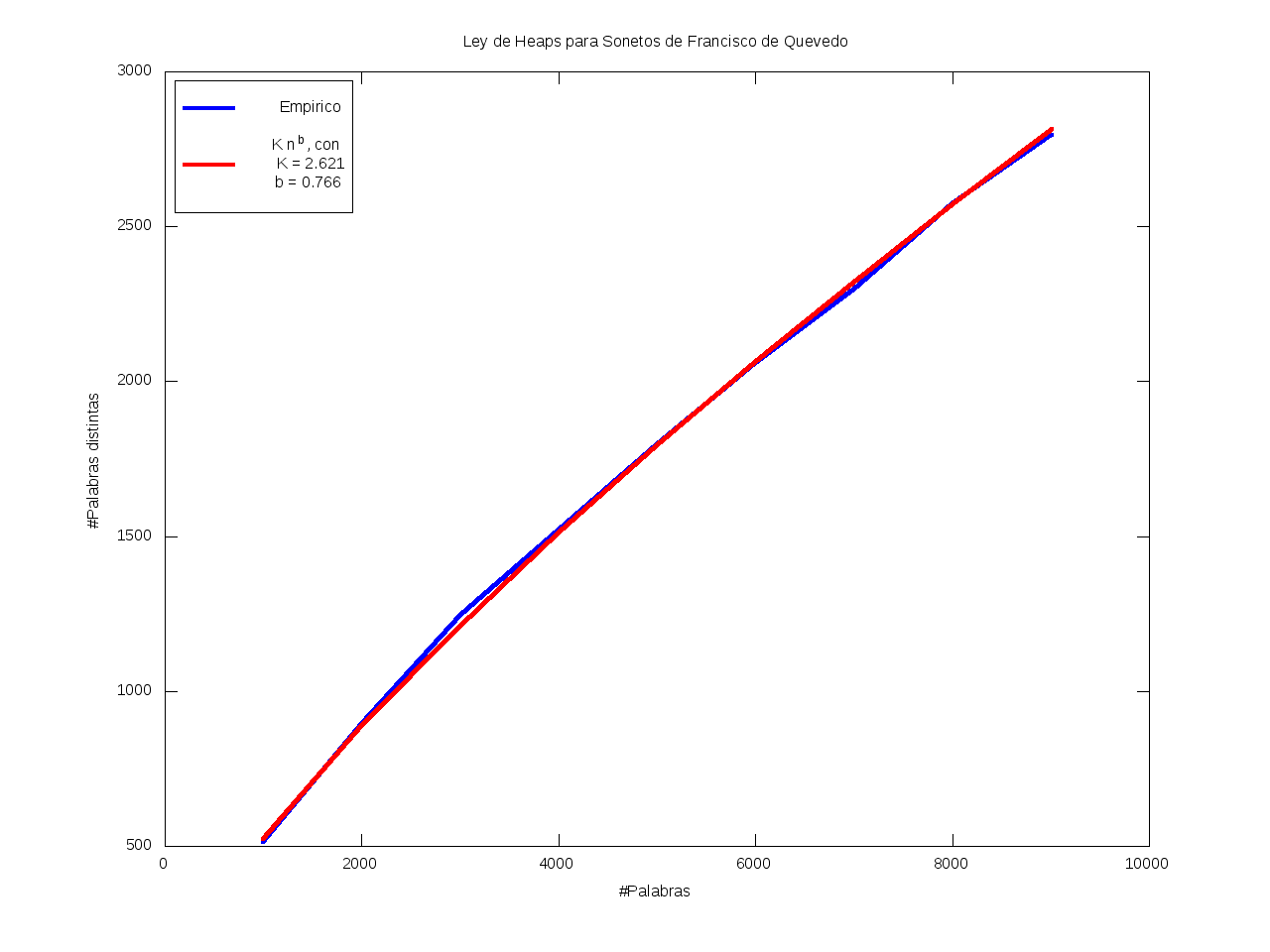
Sonetos Francisco de Quevedo Castellano 9011 2796 31.03% K=2.621 b=0.766

Escritores:

Autor: Idioma: #Palabras total: #Palabras distintas: Type-Token ratio: Ley de Heaps Ley de Zipf
William Shakespeare Inglés 910657 23514 2.58% K=25.839 b=0.500
Miguel de Cervantes Inglés 413057 14810 3.59% K=32.002 b=0.476
Miguel de Cervantes Castellano 439939 25294 5.75% K=12.977 b=0.582
Benito Pérez Galdós Castellano 645715 39739 6.15% K=16.732 b=0.583
Benito Pérez Galdós (lematizado) Castellano (lematizado) 393844 13855 3.52% K=34.438 b=0.471
El Arcipreste de Hita Castellano 60948 11479 18.83% K=2.203 b=0.779
Fernando de Rojas Castellano 68450 9189 13.42% K=7.093 b=0.647
Francisco de Quevedo Castellano 64692 10637 16.44% K=2.804 b=0.739
Leopoldo Alas Clarín Castellano 308254 22907 7.43% K=20.142 b=0.561
Leopoldo Alas Clarín (lematizado) Castellano (lematizado) 308922 11595 3.75% K=43.718 b=0.446
Lope de Vega Castellano 38483 6110 15.88% K=4.493 b=0.677
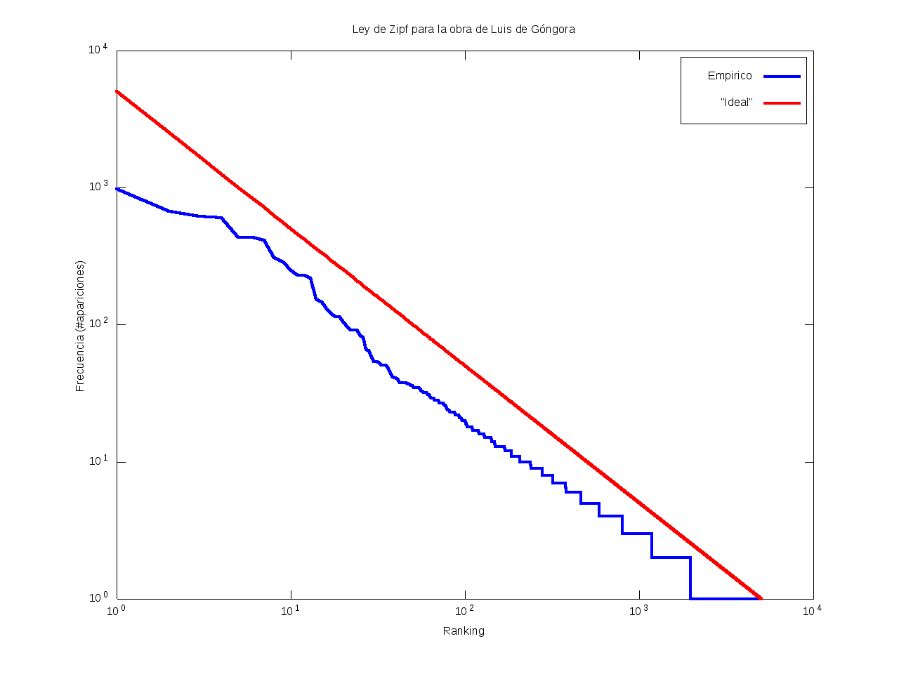
Luis de Góngora Castellano 20168 5030 24.94% K=2.167 b=0.784
Mariano José de Larra Castellano 89571 12085 13.49% K=3.943 b=0.707
Pío Baroja Castellano 44613 7326 16.42% K=4.733 b=0.691

Comparaciones:

Comparativa: Título 1: Autor 1: Idioma 1: #Palabras total 1: #Palabras distintas 1: Type-Token ratio 1: Título 2: Autor 2: Idioma 2: #Palabras total 2: #Palabras distintas 2: Type-Token ratio 2: Ley de Heaps Ley de Zipf
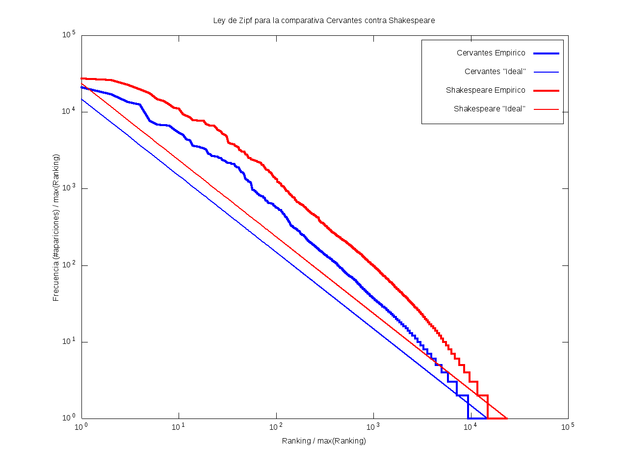
Cervantes contra Shakespeare Don_Quixote Miguel_de_Cervantes Inglés 413057 14810 3.59% Complete_Works William_Shakespeare Inglés 910657 23514 2.58% K1=32.002 b1=0.476 K2=25.839 b2=0.500
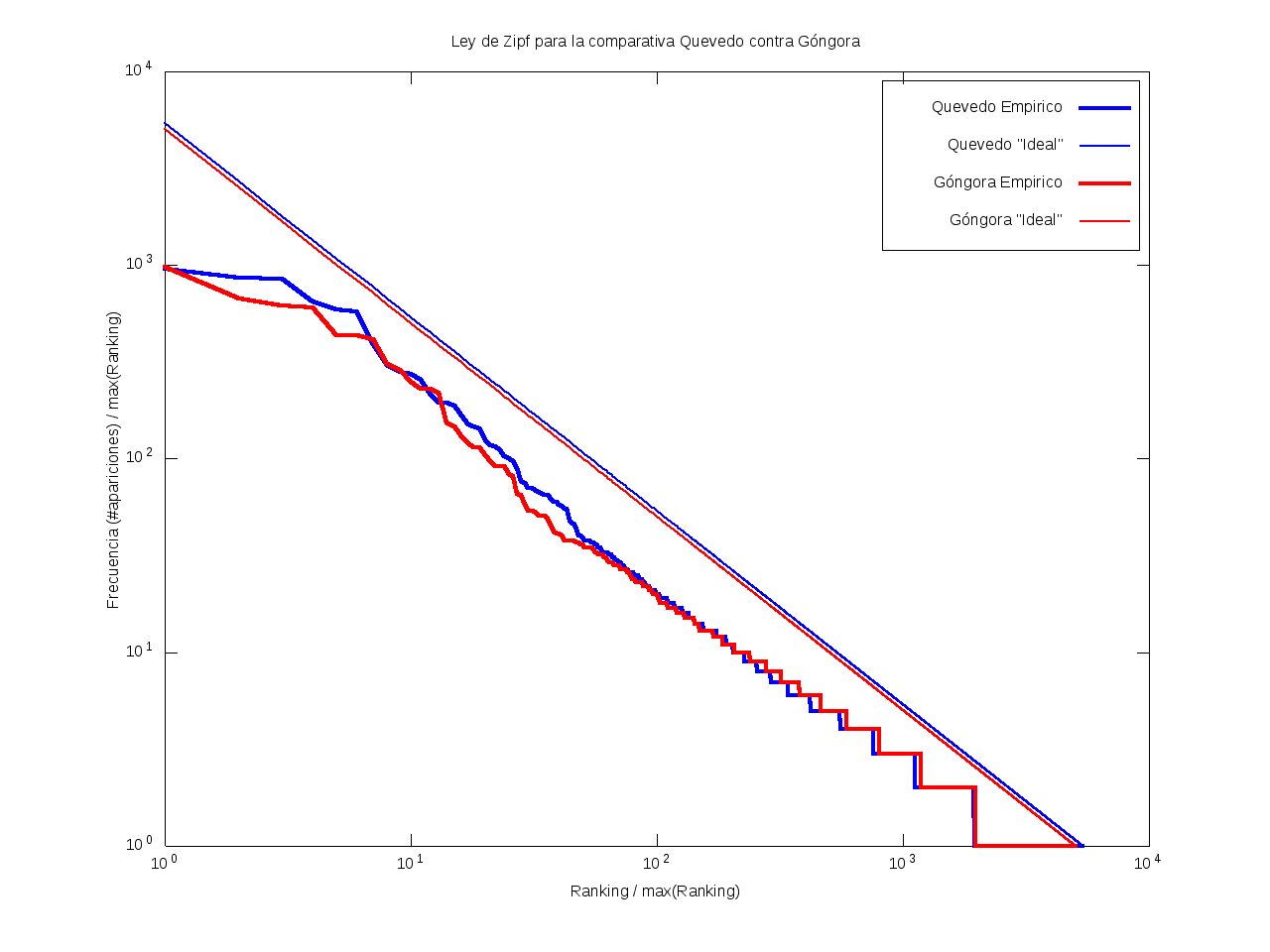
Quevedo contra Góngora * Francisco_de_Quevedo Castellano 21711 5385 24.80% * Luis_de_Góngora Castellano 20168 5030 24.94% K1=2.677 b1=0.764 K2=2.167 b2=0.784
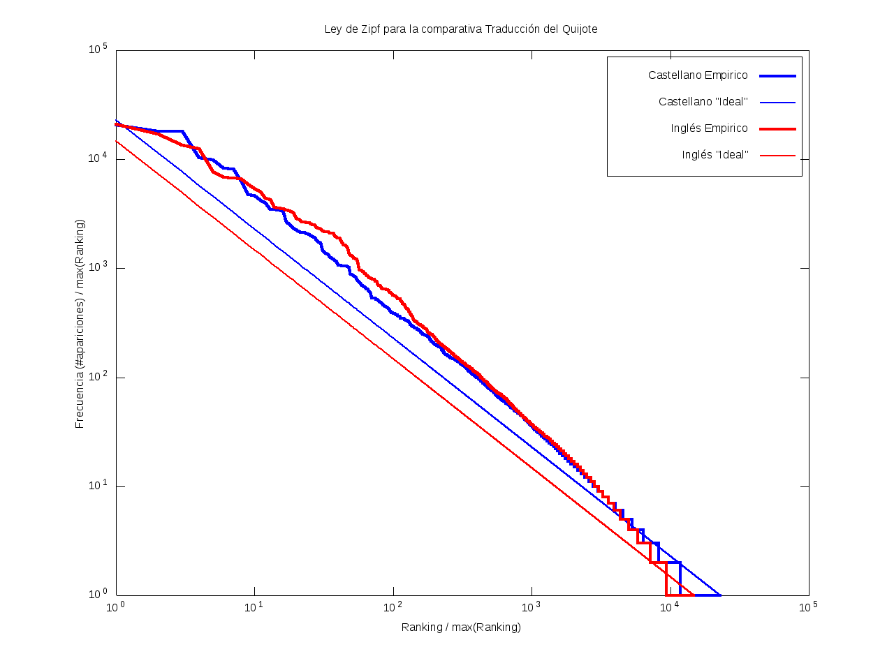
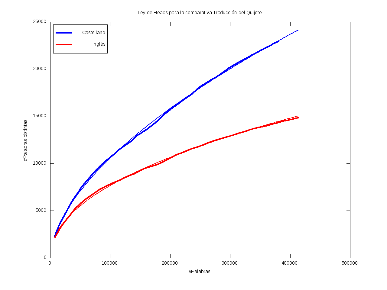
Traducción del Quijote Don_Quijote_de_la_Mancha Miguel_de_Cervantes Castellano 381216 22935 6.02% Don_Quixote Miguel_de_Cervantes Inglés 413057 14810 3.59% K1=12.991 b1=0.582 K2=32.002 b2=0.476
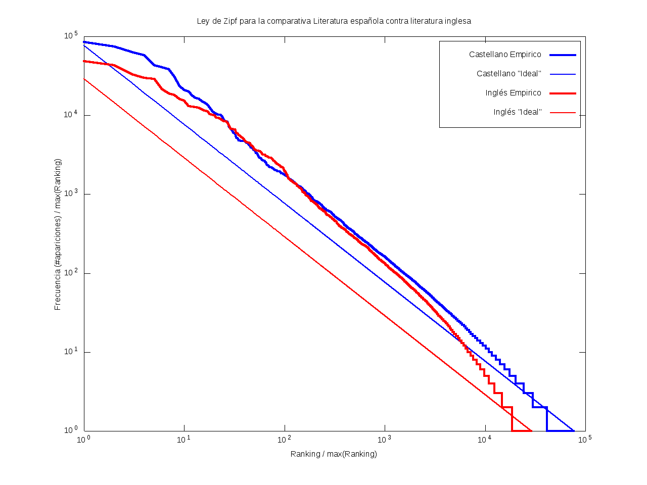
Literatura española contra literatura inglesa * * Castellano 1800906 76810 4.27% * * Inglés 1323714 28903 2.18% K1=10.669 b1=0.615 K2=18.351 b2=0.524
El Libro del Buen Amor contra La Celestina El_Libro_del_Buen_Amor El_Arcipreste_de_Hita Castellano 60948 11479 18.83% La_Celestina Fernando_de_Rojas Castellano 68450 9189 13.42% K1=2.203 b1=0.779 K2=7.093 b2=0.647
La Regenta contra Fortunata y Jacinta La_Regenta Leopoldo_Alas_Clarín Castellano 308254 22907 7.43% Fortunata_y_Jacinta Benito_Pérez_Galdós Castellano 394672 29367 7.44% K1=20.142 b1=0.561 K2=14.613 b2=0.595
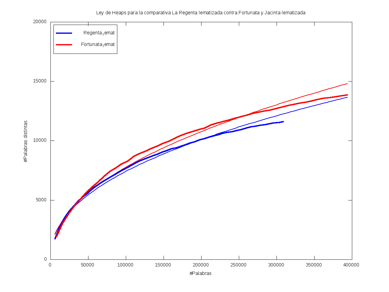
La Regenta lematizada contra Fortunata y Jacinta lematizada La_Regenta_(lematizado) Leopoldo_Alas_Clarín_(lematizado) Castellano_(lematizado) 308922 11595 3.75% Fortunata_y_Jacinta_(lematizado) Benito_Pérez_Galdós_(lematizado) Castellano_(lematizado) 393844 13855 3.52% K1=43.718 b1=0.446 K2=34.438 b2=0.471
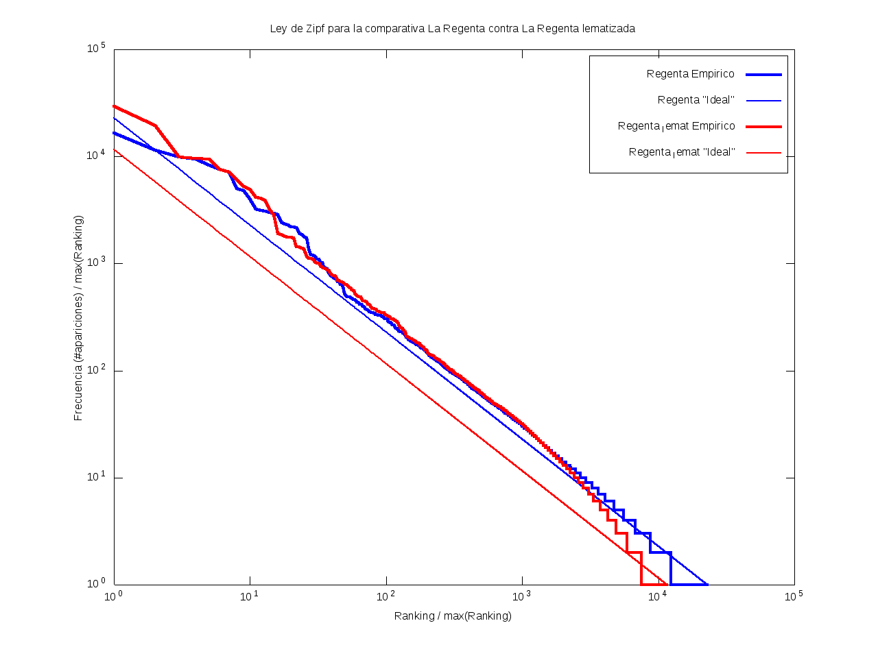
La Regenta contra La Regenta lematizada La_Regenta Leopoldo_Alas_Clarín Castellano 308254 22907 7.43% La_Regenta_(lematizado) Leopoldo_Alas_Clarín_(lematizado) Castellano_(lematizado) 308922 11595 3.75% K1=20.142 b1=0.561 K2=43.718 b2=0.446
Fortunata y Jacinta contra Fortunata y Jacinta lematizada Fortunata_y_Jacinta Benito_Pérez_Galdós Castellano 394672 29367 7.44% Fortunata_y_Jacinta_(lematizado) Benito_Pérez_Galdós_(lematizado) Castellano_(lematizado) 393844 13855 3.52% K1=14.613 b1=0.595 K2=34.438 b2=0.471